City of Winnipeg Retirees Association
Search
Primary Menu
Skip to content
2026 Annual General meeting
2026 Hot Dog Days
2026 Seminars
#3 Monday, June 8, 2026
#1 Monday, April 13, 2026
#2 Monday, May 11,2026
2026 Spring Newsletter
By-Laws
Contact Us
Corporate Retirees Wellness Program
Did You Know
Family Information Guide
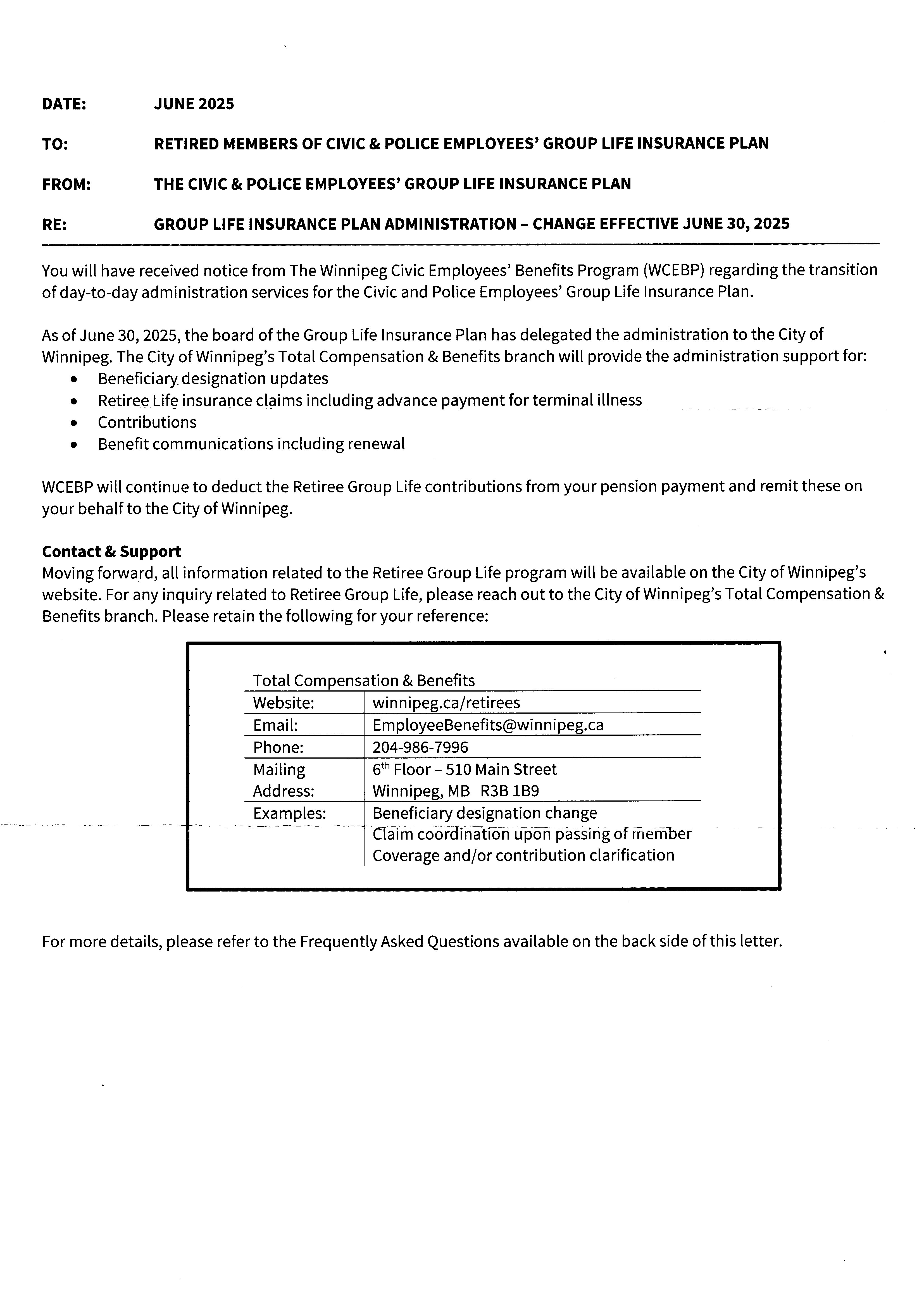
Group Life Insurance information
Manitoba Blue Cross
Benefits Plan (posted 2023-10-26)
Information July 1, 2025
Members of the Board
Membership
APPLICATION FORM
Past Seminars
Past Tours & Events
Special Projects Committee
Search for:
Group Life Insurance information
200-219 Provencher Blvd, Winnipeg, MB R2H 0G4 phone: 204-233-2227 email: cwrabrd at gmail.com